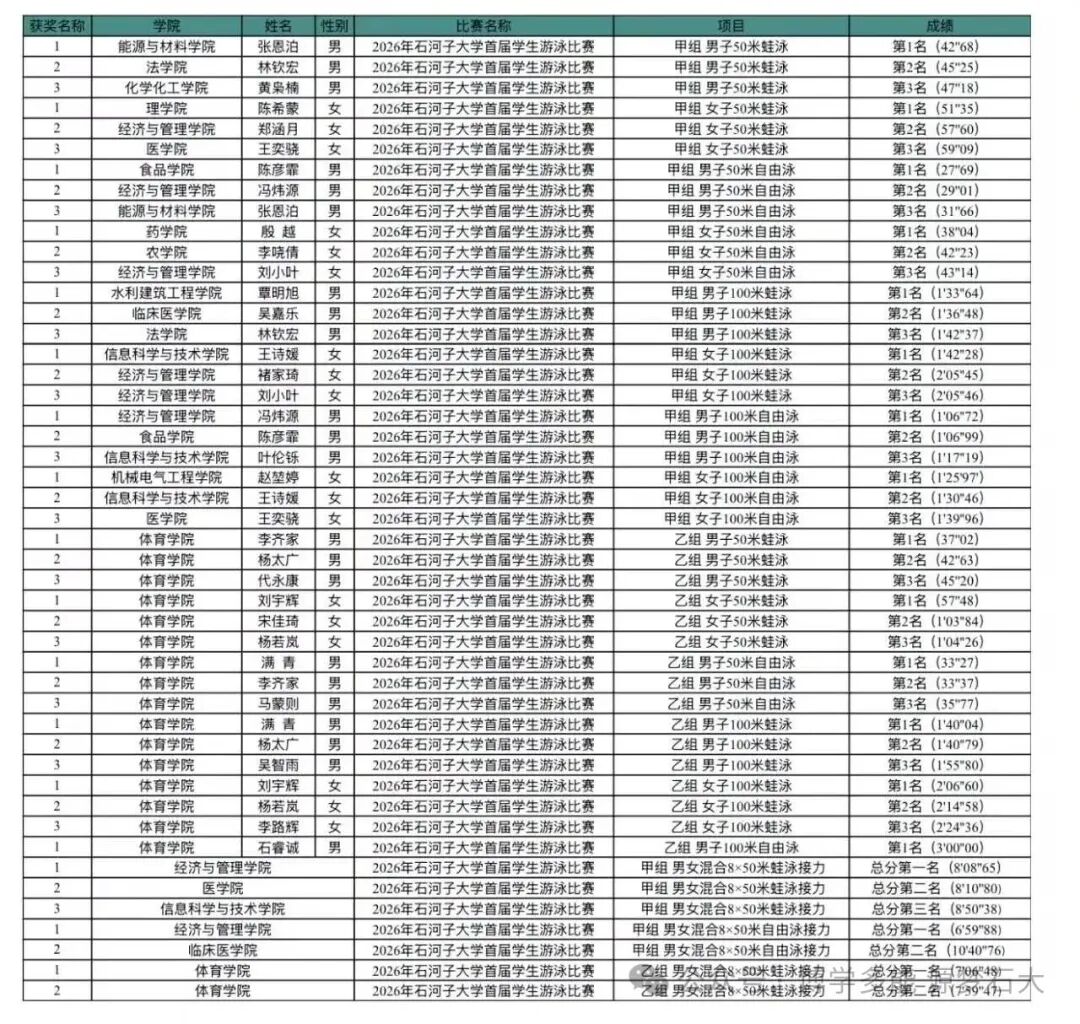
在3月29日落幕的2026年石河子大学首届学生游泳比赛中,能源与材料学院学子劈波斩浪,斩获佳绩。其中,学院2025级学生张恩泊表现尤为亮眼,一举夺得甲组男子50米蛙泳第一名和甲组男子50米自由泳第三名,成为赛场上备受瞩目的“双奖得主”。
·赛场双星:双奖耀泳池·
游泳馆内水花翻涌,加油声此起彼伏。在率先进行的甲组男子50米蛙泳决赛中,张恩泊以42秒68的成绩率先触壁,为能源与材料学院夺得冠军。随后的甲组男子50米自由泳比赛中,他再度登场,以31秒66的成绩获得亚军。
“其实赛前没有想太多,就是想把平时训练的水平发挥出来。”他坦言,虽然两项比赛间隔时间不长,体能上有些挑战,但看到队友们在看台上为自己加油,就咬牙坚持了下来。“蛙泳的冠军算是完成了自己一个小目标,自由泳能站上领奖台也很惊喜。”
谈及备赛经历,张恩泊表示,作为一名非体育专业的学生,日常需要平衡课程学习与训练。“学院很支持我们参赛,鼓励大家多参加体育活动。我一般利用晚上和周末的时间去游泳馆,每次训练一到两个小时,重点打磨转身技术和冲刺节奏。”


·能材学院:水中显英姿·
在本届游泳比赛中,能源与材料学院共有8名学生参赛,除张恩泊外,其他同学同样在各自项目中全力以赴,展现了能材学子昂扬向上的精神风貌:
◎周熙赜(2024级)参加甲组男子50米蛙泳泳,以平稳的发挥完成比赛,取得甲组男子50米蛙泳第四名;
◎金正浩(2025级)参加甲组男子50米蛙泳;
◎胡宇欣(2024级)参加甲组男子50米蛙泳;
◎李金亮(2025级)参加甲组男子50米蛙泳;
◎张凌溪(2024级)参加甲组女子50米蛙泳,作为学院唯一的女选手,在赛场上奋力拼搏;
◎林淇航(2024级)参加甲组男子100米自由泳;
◎邵彧骐(2025级)参加甲组男子100米自由泳;
“这次比赛大家都很积极,赛前我们几个还约着一起去适应场地、互相计时。”张恩泊说,虽然学院没有专门的游泳队,但同学们自发形成了训练小组,彼此鼓励,“能一起代表学院参赛,本身就是一件很有荣誉感的事。”
·以体育人,乘风破浪·
本次游泳比赛,能源与材料学院取得团体第六名的佳绩。能源与材料学院始终重视学生综合素质培养,鼓励学生在学术之余积极参与体育锻炼,参赛学子凭借扎实的个人能力和顽强的拼搏精神,在全校舞台上展现了能材人的风采。

“体育比赛的意义不仅在于名次,更在于挑战自我、超越极限的过程。”张恩泊在采访最后说道,“希望未来有更多同学参与到游泳这项运动中来,明年我们争取在接力项目上也取得突破。”
随着比赛落幕,张恩泊和队友们已开始为下一阶段的学业和训练做规划。这个在水中奋力向前的身影,正是能源与材料学院学子“明德笃行,能材兼备”精神的生动写照。
每一份成绩的背后,都是汗水与坚持的浇灌;每一份荣誉的取得,都离不开团队的凝心聚力。此次游泳赛事,不仅让张恩泊等学子收获了赛场佳绩,更展现了我院学子团结奋进、永不言弃的精神面貌。未来,我院将继续深耕体育育人工作,鼓励更多学子积极参与体育运动,在各类竞技舞台上绽放光彩,以青春之我、奋斗之我,书写更加精彩的青春篇章。
(文字:耿珂、库勒米拉·喀得尔别克;图片:张恩泊;初审:潘薇;复审:陈世刚、库勒米拉·喀得尔别克;终审:周立)
